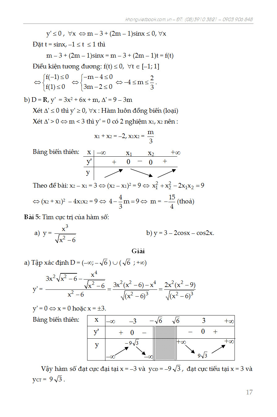
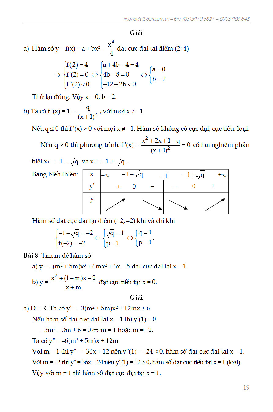
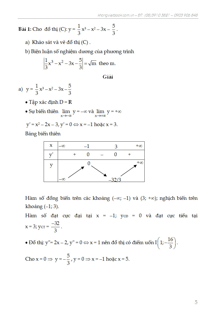
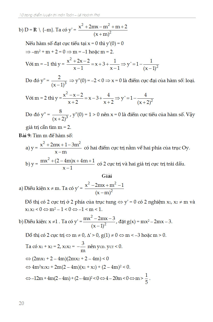
✨10 Trọng Điểm Luyện Thi THPT Quốc Gia Môn Toán _KV
Mua tại Shopee
Mua tại Tiki
Mua tại Lazada
Mua tại Tiktok10 Trọng Điểm Luyện Thi THPT Quốc Gia Môn Toán là một trong những cuốn mới nhất của thạc sĩ Lê Hoành Phò được biên soạn theo cấu trúc mới nhất, bám sát đề thi Đại Học - Cao Đẳng 2016 do phát hành. Quyển sách là kim chỉ nang các bí kíp giải bài tập Toán với những phương pháp cho các em rèn luyện trí tư duy và vận dụng lưu loát kỹ năng làm bài theo phương châm Nhanh, Chuẩn xác, tuyệt đối. Quyển sách gồm 10 trọng điểm tương ứng với 10 điểm tuyệt đối của bài thi môn Toán:
- Khảo sát hàm số
- Phương trình lượng giác
- Phương trình, hệ phương trình
- Nguyên hàm, tích phân
- Hình Học không gian
- Bất đẳng thức
- Tọa độ phẳng
- Tọa độ không gian
- Tổ hợp, chỉnh hợp, nhị thức Newton
- Số phức
10 Trọng Điểm Luyện Thi THPT Quốc Gia Môn Toán còn có thêm các đề tổng hợp từ các kỳ thi THPT năm 2015 và một số năm trước,đề thi thử của một số tỉnh thành, các trường chuyên và kì thi học sinh giỏi luyện thi để các em vận dụng.
Mua tại Shopee
Mua tại Tiki
Mua tại Lazada
Mua tại TiktokGiáo trình Hoá học Vô cơ này đã được viết và giảng dạy từ những năm 50 của thế kỷ trước cho sinh viên khoa Hoa học trường Đại học Tổng hợp Hà Nội trước
1 Dẫn Chứng Nghị Luận Xã Hội NỘI DUNG SÁCH 1. Gồm thông tin cung cấp 365 dẫn chứng bao trọn mọi lĩnh vực, dễ dàng vận dụng vào bài viết, đa dạng và
Kỹ năng viết bài văn nghị luận xã hội Kể từ năm 20222-2023, chúng ta đã chính thức áp dụng bộ sách giáo khoa mới vào chương trình dạy học các cấp. Việc tiếp cận
Giáo trình Hoá học Vô cơ này đã được viết và giảng dạy từ những năm 50 của thế kỷ trước cho sinh viên khoa Hoá học trường Đại học Tổng hợp Hà Nội trước
[ TSA 2025 ] Sách Đánh giá tư duy Bách Khoa HN Tổng ôn phần tư duy khoa học - môn Sinh Học - Hệ thống kiến thức đầy đủ theo chương trình Sách giáo
“Đầu tư”, tuy gói gọn trong hai từ nhưng đó là câu chuyện kéo dài cả một đời người. Cùng với sự phát triển mạnh mẽ của thị trường chứng khoán Việt Nam thể hiện
Làm văn là một phần quan trọng trong môn học Ngữ Văn , làm văn có tính chất quyết định đánh giá kết quả học tập môn Ngữ Văn . Cuốn sách được biên soạn
Sách Tổng Ôn Vật Lí Tập 1 - Dành cho 2K7 1. Nội dung sách: Sách được viết dựa trên chương trình SGK mới với hơn 2000 câu hỏi bài tập 2. Đối tượng sử
Sinh học lớp 12 chương trình mới: Combo Tổng ôn sinh học ôn thi thpt quốc gia đgnl Moonbook - Hệ thống kiến thức và video bài giảng theo chương trình sách giáo khoa mới
Đỉnh cao của lãnh đạo là lãnh đạo chính bản thân mình", đây là quan điểm được TS Tô Nhật đúc rút. Cuốn sách được tác giả chia làm 2 phần, phần 1: Rèn luyện
OKRs – bí mật của tăng trưởng lấy trọng tâm là phương pháp OKRs (Mục tiêu – Kết quả then chốt) và truyền tải sinh động phương pháp thực hiện cũng như tình huống áp
Giải Mã Ngành Công Nghiệp Âm Nhạc ------------ Bạn có biết rằng: - Phần lớn các thỏa thuận thậm chí không yêu cầu công ty thu âm thực hiện một bản ghi âm, huống
Giải Mã Ngành Công Nghiệp Âm Nhạc ------------ Bạn có biết rằng: - Phần lớn các thỏa thuận thậm chí không yêu cầu công ty thu âm thực hiện một bản ghi âm, huống
Trí tuệ Do Thái là một cuốn sách tư duy đầy tham vọng trong việc nâng cao khả năng tự học tập, ghi nhớ và phân tích - những điều đã khiến người Do Thái
Chiến Thuật Giải Đề Đạt Điểm 10 Môn Tiếng Anh Kì Thi Trung Học Phổ Thông Quốc Gia Chiến thuật giải đề đạt điểm 10 môn tiếng Anh – Kì thi THPT QG là cuốn sách
Sách P.H.A.O Lịch sử Ôn luyện thi tốt nghiệp THPT, ĐGNL Biến việc học thành một cuộc phiêu lưu thú vị Bạn đang tìm kiếm một giải pháp nhớ nhanh lí thuyết, giúp bạn
- Bộ sách do đội ngũ tác giả bao gồm các chuyên gia, giảng viên Đại học, giáo viên THPT Chuyên – những người có kinh nghiệm, hiểu biết về kì thi và đã trực
Câu Hỏi Trắc Nghiệm Chuyên Đề Điền Từ Vào Đoạn Văn Tiếng Anh Cuốn sách Câu Hỏi Trắc Nghiệm Chuyên Đề Điền Từ Vào Đoạn Văn Tiếng Anh mang đến cho quý thầy cô giáo
MÔ TẢ SẢN PHẨM 1 Nội Dung : Ngôn ngữ là một trong những công cụ quan trọng giúp chúng ta giao tiếp. Và ngôn ngữ nào cũng vậy, từ ngữ, ý tứ, cùng với
SÁCH ĐỘT PHÁ TƯ DUY KÌ THI TỐT NGHIỆP THPT MÔN ĐỊA LÍ Theo cấu trúc định hướng thi mới năm 2025 của BGD Với cấu trúc đề thi mới, các dạng câu hỏi mới
Sách lý thuyết trọng tâm ôn thi THPT luyện thi đánh giá năng lực môn vật lý - Moonbook 1. Nội Dung : Trọng tâm lí thuyết tốt nghiệp phổ thông môn Vật lí”. Đúng
Nội dung gồm có: Phần thứ nhất: Câu hỏi và bài tập Chương 1: Đại cương hoá học hữu cơ Chương 2: Hidrocacbon no Chương 3: Hidrocacbon không no Chương 4: Hidrocacbon Thơm Chương 5:
Sách - Nâng cao Văn phong Nghị luận xã hội - Cô Trần Thùy Dương Tác giả Trần Thùy Dương Nhà xuất bản NXB Đại Học Quốc Gia Hà Nội Đơn vị phát hành NXB
Sách - Rèn kỹ năng xử lí và Chuyên sâu luyện đề môn Ngữ văn (Thi tốt nghiệp THPT chương trình GDPT 2018) Tác giả Trần Thùy Dương Nhà xuất bản NXB Đại Học Quốc
️ NỘI DUNG Cuốn sách được chia thành 3 phần: – Phần 1: giới thiệu chung về collocations và idioms, cũng như hệ thống một sốcollocations và idioms thường gặp. – Phần 2: hướng dẫn
Combo 2 cuốn Tổng Ôn Sinh Học Lớp 12 - Dành cho 2K7 1. Nội dung sách: + Nội dung bám sát chương trình GDPT năm 2018 dùng chung cho tất cả các bộ sách
Tổng Ôn Hoá Học Lớp 12 Tập 1 - Dành cho 2K7 1. Nội dung sách: Sách được viết dựa trên chương trình SGK mới với hơn 2000 câu hỏi bài tập 2. Đối tượng
I. Dẫn Chứng Nghị Luận Xã Hội : Nội dung sách Một bài văn Nghị luận xã hội nếu thiếu dẫn chứng thì mọi lý lẽ các bạn đưa ra đều trở nên vô nghĩa,
Tổng Ôn Hoá Học Lớp 12 Tập 1 - Dành cho 2K7 1. Nội dung sách: Sách được viết dựa trên chương trình SGK mới với hơn 2000 câu hỏi bài tập 2. Đối tượng
- Bộ sách do đội ngũ tác giả bao gồm các chuyên gia, giảng viên Đại học, giáo viên THPT Chuyên – những người có kinh nghiệm, hiểu biết về kì thi và đã trực
1. Tổng Ôn Toán Học - Tập 1 (Theo Chương Trình SGK Mới) - Hệ thống kiến thức và video bài giảng theo chương trình sách giáo khoa mới - Đầy đủ các dạng
Vật lý 12 Chương trình SGK mới: Tổng ôn vật lý ôn thi thpt quốc gia 2025, đánh giá năng lực Moonbook - Hệ thống kiến thức đầy đủ theo chương trình SGK mới -
Hoá học 12 Chương trình mới : Tổng ôn hoá học ôn thi thpt quốc gia 2026, dánh giá năng lực Moonbook - Hệ thống kiến thức và video bài giảng theo chương trình
Sách Bộ đề đánh giá năng lực Tiếng anh, ôn thi ĐGNL Hà Nội, HCM, Sư phạm HN 2025 - Moonbook Nội Dung : Kì thi Đánh giá Năng lực (ĐGNL) do các trường đại
P.H.A.O Ngữ Văn – Ôn luyện thi tốt nghiệp THPT, ĐGNL Biến việc học Ngữ văn thành một hành trình khám phá sắc màu cảm xúc và tư duy Bạn đang tìm kiếm một cuốn
Bộ 2 cuốn sách P.H.A.O Lịch sử Ôn luyện thi tốt nghiệp THPT, ĐGNL và Đột phá tư duy kì thi tốt nghiệp THPT môn Lịch sử Biến việc học thành một cuộc phiêu lưu
Sách Tổng ôn ngữ pháp Tiếng anh Cô Trang Anh là cuốn sách: - Đầy đủ nhất với 30 chuyên đề ngữ pháp Tiếng anh thông dụng nhất. - Dày 605 trang gần 7000 bài
Sách Tổng ôn từ vựng tiếng anh cô Trang Anh Moonbook 1. Nội Dung : Xét thấy theo chương trình sách giáo khoa mới với form đề thi mới đặc biệt chú trọng vào từ
Sách - Dẫn Chứng Nghị Luận Xã Hội (Cô Trần Thùy Dương) - Tác giả: Cô Trần Thùy Dương - Nhà xuất bản: NXB Đại Học Quốc Gia Hà Nội - Số Trang: 780 trang
MÔ TẢ SẢN PHẨM CAM KẾT VÀ BẢO HÀNH - Đảm bảo và cam kết sản phẩm đúng với mô tả và hình ảnh của shop. - Đổi trả sản phẩm miễn phí trong vòng
Sách - Luyện xử lý đề Bài văn nghị luận xã hội - Tập 1 (Cô Trần Thùy Dương) Tác giả: Trần Thùy Dương Nhà xuất bản: NXB Đại Học Quốc Gia Hà Nội Đơn
Sách - Rèn kỹ năng xử lí và Chuyên sâu Luyện đề Môn Ngữ văn - Thi Tốt nghiệp THPT Chương trình GDPT 2018 (Cô Trần Thùy Dương) Tác giả: Trần Thùy Dương Nhà xuất
Combo 2 Quyển Tổng Ôn Tập Hóa Hữu Cơ Và Tổng Ôn Tập Hóa Đại Cương Và Phi Kim 1.Tổng Ôn Tập Hóa Hữu Cơ Những năm qua Bộ Giáo dục và Đào
Phương Pháp Trắc Nghiệm - Giải Chi Tiết Các Chuyên Đề Quan Trọng Trong Hoá Học Trong những năm gần đây trong đề thi THPT Quốc gia môn Hóa học xuất hiện khá nhiều các
Tổng Ôn Tập Các Chuyên Đề Tiếng Anh của tác giả Lưu Hoằng Trí được biên soạn theo 6 chuyên đề: - Chuyên đề 1: Ngữ âm - Chuyên đề 2: Từ vựng - Chuyên đề
Kỳ thi THPT quốc gia bộ môn Vật Lí ngày càng khó hơn và nâng cao hơn với kiến thức rộng hơn bao gồm cả lớp 10-11-12. Chính vì lý do đó nhiều học sinh
Tuyển Tập Olympic Toán Học Tại Các Nước Đông Âu Cuốn sách còn giới thiệu thêm một số bài toán trên các tạp chí như tạp chí Komal, một số cuộc thi liên quốc gia như
MÔ TẢ SẢN PHẨM - WHAT MỘT SỐ THÔNG SỐ SẢN PHẨM Thông số Giá trị Tên sản phẩm CC Thần tốc luyện đề 2022 (Chinh phục kì thi tốt nghiệp THPT và thi vào
Tốc Chiến Luyện Đề Đánh Giá Tư Duy (Theo cấu trúc đề thi của Đại học Bách Khoa Hà Nội) 1. Định nghĩa Là cuốn sách giúp học sinh hệ thống kiến thức, kỹ
Thầy K là một thầy giáo dạy violin gốc Ukraina. Thầy đã trải qua một cuộc đời tuổi trẻ sóng gió ở đất nước của thầy với những sự khốc liệt của chiến tranh và
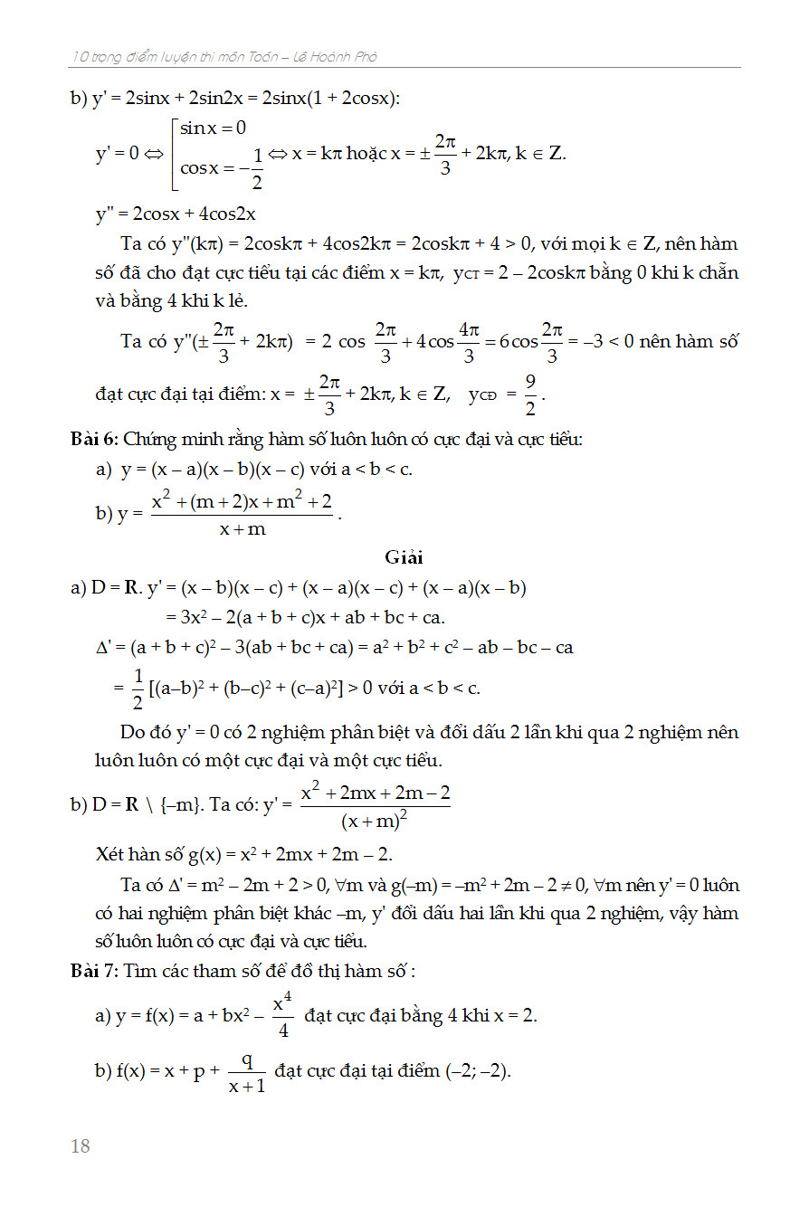
10 Trọng Điểm Luyện Thi THPT Quốc Gia Môn Toán là một trong những cuốn mới nhất của thạc sĩ Lê Hoành Phò được biên soạn theo cấu trúc mới nhất, bám sát đề thi Đại Học
Năng lượng ngày mới: Nước Với Năng lượng ngày mới: Nước, các bạn nhỏ sẽ được tìm hiểu tất tần tật về Nước, tại sao ta cần uống nước, uống bao nhiêu nước mỗi ngày
Năng Lượng Ngày Mới: Thức Ăn Với Năng Lượng Ngày Mới: Thức Ăn, các bạn nhỏ sẽ được tìm hiểu tất tần tật về thức ăn, quá trình hấp thụ và tiêu hóa thức ăn,
Năng Lượng Ngày Mới: Giấc Ngủ Năng lượng ngày mới là bộ sách phù hợp cho các bạn nhỏ từ 4 tuổi. Ở lứa tuổi này, hẳn các bố mẹ đều đau đầu với việc
Nội dung sách bám sát chương trình THPT, nhất là năm lớp 12. Đây thực sự là cuốn sách bổ ích cho các em học sinh trong quá trình học tập cũng như ôn
The Phoenix Project: Dự Án Phượng Hoàng (*** Sách Bản Quyền ***) Công Ty Phát Hành: Alpha Books — Câu chuyện về DevOps và chìa khóa thành công cho mọi doanh nghiệp công nghệ — ------------
22 Đề Thi Trắc Nghiệm Môn Địa Lí Vào tháng 10/2016 Bộ Giáo dục và Đào Tạo đã công bố đề thi minh họa cho kì thi THPT Quốc gia 2017. Và môn Địa
Tổng Ôn Hoá Học Lớp 12 Tập 1 - Dành cho 2K7 1. Nội dung sách: Sách được viết dựa trên chương trình SGK mới với hơn 2000 câu hỏi bài tập 2. Đối tượng
👁️ 454 | ⌚2025-10-02 03:26:04.192
Mưa điểm 10 cho đề thi tiếng Anh THPT quốc gia 2024? #ieltslanggo #hoctienganh #ieltspseaking
Cách ôn môn Toán trong kỳ thi tuyển sinh 10. P/s: kênh này vẫn là kênh IELTS #khongphaibacsi
Phân tích đề minh họa 2025, nên tin gì? Và nên học như thế nào? #flowthinking #maths #learnonshorts
Bí quyết đạt 8+ điểm môn Toán trong kỳ thi tốt nghiệp THPT 2025 #kenhk12
Bao nhiêu điểm đỗ tốt nghiệp | Biquyetdodaihoc #shorts
Cay đắng thí sinh 29,25 điểm vẫn trượt đại học - Tin Tức VTV24

Mưa điểm 10 cho đề thi tiếng Anh THPT quốc gia 2024? #ieltslanggo #hoctienganh #ieltspseaking
Cách ôn môn Toán trong kỳ thi tuyển sinh 10. P/s: kênh này vẫn là kênh IELTS #khongphaibacsi
Phân tích đề minh họa 2025, nên tin gì? Và nên học như thế nào? #flowthinking #maths #learnonshorts
Bí quyết đạt 8+ điểm môn Toán trong kỳ thi tốt nghiệp THPT 2025 #kenhk12
Bao nhiêu điểm đỗ tốt nghiệp | Biquyetdodaihoc #shorts
Cay đắng thí sinh 29,25 điểm vẫn trượt đại học - Tin Tức VTV24

- Balo SimpleCarry R - City Black (48 x 33cm) được làm từ chất liệu vải polyester trượt nước, gam màu tối giản dễ dàng kết hợp với nhiều trang phục khác nhau giúp bạn
Túi đeo chính hãng thương hiệu SimpleCarry SD7 DUFFLE Bag SimpleCarry là thương hiệu Ba lô, Túi xách sản xuất tại Việt Nam theo tiêu chuẩn Mỹ. Bảo hành 10 năm. Vải trượt nước &
Túi xách chống sốc chính hãng Innostyle Omniprotect Carry – S114-13 Innostyle là thương hiệu trong lĩnh vực cáp sạc, sạc và pin dự phòng chuyên dụng với tiêu chuẩn chất lượng của USA. Sản
Túi xách chống sốc chính hãng Innostyle Omniprotect Carry – S114-14 Innostyle là thương hiệu trong lĩnh vực cáp sạc, sạc và pin dự phòng chuyên dụng với tiêu chuẩn chất lượng của USA. Sản
Balo laptop 15.6 inch chính hãng Mikkor dòng The Amiri Backpack Mikkor là thương hiệu Balo, Túi xách xuất hiện tại Việt Nam từ năm 2012. Với đội ngũ thiết kế năng động, nhiệt huyết, luôn cập nhật xu hướng
LẦN ĐẦU KHAI THÁC VÀ ĐIÊU KHẮC VÒNG TAY HOA ĐỘC ĐÁO (NHẬN ĐẶT HÀNG THEO YÊU CẦU) - KHÁCH CỨ ĐẶT, SHOP CHỤP CHO CHỌN, SHOP CHO ĐỔI HÀNG CHO ĐẾN KHI VỪA TAY
GIÀY TÂY NAM PABNO PN18020 1. THÔNG TIN SẢN PHẨM: GIÀY TÂY NAM PABNO PN18020 thiết kế theo phong cách Tây-Âu mang lại sự lịch lãm, sang trọng, phù hợp với các quý
GIÀY TÂY NAM CỘT DÂY CAO CẤP PABNO PN18017 – SANG TRỌNG, NAM TÍNH THÔNG TIN SẢN PHẨM: Thiết kế chuẩn phong cách Tây Âu, lịch lãm – trẻ trung, tôn dáng –
GIÀY TÂY NAM PABNO PN18018 1. THÔNG TIN SẢN PHẨM: Giày tây công sở thiết kế theo phong cách phương Tây-Âu, mang lại sự lịch lãm, sang trọng phù hợp với các chàng
- Cáp mạng đúc sẵn Vention Cat 6 với thiết kế tinh tế sang trọng, với 2 đầu kết nối dương cho phép người dùng kết nối tín hiệu dễ dàng - Được làm
- Tên sạc: Sạc dành cho Laptop Gaming MSI 20V 9A 180W Adapter for MSI WS66 10TL Series A17-180P4B - Công suất: 180W - Chuẩn chân cắm: (4.5 mm * 3.0 mm) Chân Kim trong
- Tên sạc:Sạc dành cho Laptop Gaming MSI GL72M 7RDX 7RDX-699 7RDX-800, GL72M 7REX 7REX-820 - Điện áp vào (input) 100V - 240V - Điện áp ra (output) 19.5V 7.7A - Công suất 150W -
- Tên sạc: Sạc dành cho Laptop Gaming MSI GF75 Thin 10UEK-048US Charger Adapter 20V 9A 4.5mm A17-180P4B - Công suất:180W - Chuẩn chân cắm: (4.5 mm * 3.0 mm) Chân Kim trong - Điện
Quý khách vui lòng đổi hàng trong vòng 3 ngày -Kể từ ngày mua đối với khách mua tại cửa hàng -Kể từ ngày nhận đối với khách mua online -Trong vòng 3 ngày từ
Là thiết bị y tế tự động giúp đo huyết áp và nhịp tim nhanh chóng và chính xác. Với thiết kế dễ sử dụng, màn hình LCD rõ ràng và khả năng lưu trữ
Công dụng tuyệt vời: Bộ dụng cụ giúp loại bỏ mụn đầu đen, mụn trứng cá cùng nhiều khuyết điểm khác, giữ cho làn da sạch sẽ – mịn màng mà không để lại vết
Gel Bôi Trơn Hương Dâu Flavor Lotion Strawberry Nhật Bản Kèm Gel Jex Gel bôi trơn hương dâu Flavor Lotion Strawberry là dòng sản phẩm cao cấp giúp mang đến cảm giác ẩm mượt, dễ
Gel Bôi Trơn Hương Việt Quất Nhật Bản Flavor Lotion Blueberry Kèm Kem Jex Gel bôi trơn hương việt quất Flavor Lotion Blueberry là dòng sản phẩm cao cấp đến từ Nhật Bản, mang đến trải
ĐIỂM NỔI BẬT CỦA CẢ 2 DÒNG MÁY: Công suất mạnh mẽ – Xay nhanh siêu tốc • GOLD: 500W, tiết kiệm 45% thời gian so với máy thông thường. • SILVER: 350W, tiết kiệm
THÔNG TIN SẢN PHẨM • Dung tích 600ml ngày dùng từ 2-3 bình là đủ lượng nước cơ thể cần • Toàn bộ bình được chế tác từ Inox 316L cao cấp • Giữ Nhiệt