✨Sách - Toán Nâng Cao Đại Số 9 - Dùng Chung Các Bộ SGK Hiện Hành - Nguyễn Thiện Chí - Hồng Ân









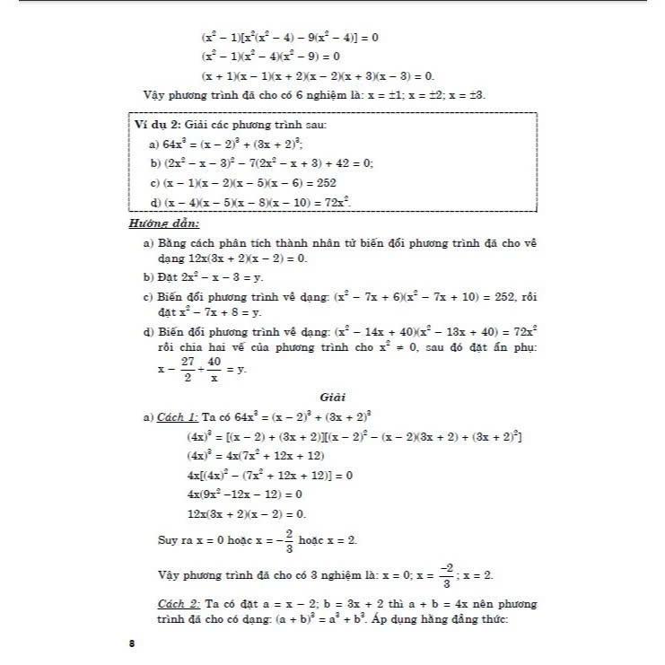
Sách - Toán Nâng Cao Đại Số 9 - Dùng Chung Các Bộ SGK Hiện Hành Đại số là mảng kiến thức rất quan trọng trong toán học phổ thông. Nhằm giúp các em học sinh lớp 9 ôn thi vào lớp 10 THPT cũng như các em học sinh chuyên Toán có một tài liệu mang tính hệ thống để ôn luyện, nâng cao kiến thức kỹ năng giải toán và đạt kết quả cao nhất trong các kỳ thi Học sinh giỏi, kỳ thi Tuyển sinh vào lớp 10 cũng như thi vào các lớp chuyên, tôi biên soạn cuốn sách này. Chương 1. Căn bậc hai Chương 2. Hệ phương trình bậc nhất Chương 3. Phương trình bậc hai Chương 4. Ôn tập toàn năm
Nhà Phát Hành: Nhà Sách Hồng Ân Nhà Xuất Bản: NXB Đại Học Sư Phạm Tác Giả: Nguyễn Thiện Chí Hình Thức: Bìa Mềm Số Trang: 266 Kích Thước: 16 x 22 cm Ngày Xuất Bản: 2024




Binh pháp tôn tử dành cho phái đẹp không phải là một quyển sách được viết ra nhằm khích lệ người đọc. (Nhưng tôi chắc chắn bạn sẽ cảm thấy rất tuyệt sau khi đọc
Thái Căn Đàm – Vanlangbooks - Giới thiệu Thái Căn Đàm (bàn về rễ rau) bàn về gốc rễ đạo đức làm người với dụng ý rằng: tài trí và kết quả tu dưỡng của
Toeic Analyst Second Edition được biên soạn nhằm giúp sinh viên luyện thi TOEIC, bằng cách giúp thí sinh nắm bắt tất cả những dạng câu hỏi thường gặp lẫn các chiến lược phân tích
Bộ Sách Jim Rohn - Triết Lý Cuộc Đời “Đừng đi trước tôi, có khi tôi sẽ chẳng theo sau, Đừng đi sau lưng tôi, có lẽ tôi sẽ không dẫn dắt, Hãy đi bên
Bồ Tát Tại Gia - Bồ Tát Xuất Gia (Tái Bản 2024) I. Giới Thiệu Sách Bồ Tát Tại Gia - Bồ Tát Xuất Gia Đạo Bụt không phải chỉ dành cho những người xuất
Thông tin sản phẩm Mã hàng 8932000134060 Tên Nhà Cung Cấp Cty Bán Lẻ Phương Nam Tác giả Thích Nhất Hạnh NXB Thế Giới Năm XB 2023 Ngôn Ngữ Tiếng Việt Trọng lượng (gr) 252
Diễn thuyết không chỉ là kỹ năng trình bày trước đám đông mà còn là một môn nghệ thuật đầy quyền năng. Với cuốn sách Nghệ thuật diễn thuyết để thành công, tác giả Jerry
Cuốn Sách Kỹ Năng Cực Hay Dành Cho Nhà Lãnh Đạo: Lãnh Đạo Bằng Sức Mạnh Trí Tuệ Cảm Xúc / Sách Tư Duy - Kỹ Năng Sống (Tặng Kèm Bookmark Happy Life) Định kiến
Nghệ thuật yêu (tên tiếng anh là The Art of Loving) được nhà phân tâm học Erich Fromm xuất bản năm 1957. Đây có lẽ là tác phẩm nổi tiếng hơn cả của Erich Fromm,
Cuốn sách ghi lại những bài học từ nghiên cứu đột phá của Ariely khi họ khám phá câu hỏi cốt yếu: Làm thế nào chúng ta có thể đưa ra quyết định tốt hơn?
7 Thói Quen Của Bạn Trẻ Thành Đạt được biên dịch từ tác phẩm nổi tiếng The 7 Habits of Highly Effective Teens của tác giả Sean Covey theo hợp đồng chuyển giao bản quyền
Bởi Ta Chưa Tự Biết Mình ------------ Bạn không hài lòng với cuộc sống hiện tại dù đang không ngừng cố gắng? Bạn thất vọng vì mọi nỗ lực của mình dường như đều
Từ Bỏ Thì Dễ, Vượt Lên Chính Mình Mới Khó Cha mẹ có giàu tình thương yêu đến mức nào, cũng chỉ trở thành một ngọn đuốc, chỉ đường soi lối để con tự bước
Hỏi Thông Minh, Đáp Cực Đỉnh Chúng ta đều cố gắng xây dựng những mối quan hệ đích thực với khách hàng, bạn bè và gia đình. Nhưng đôi khi chúng ta vẫn bị bế
MA THUẬT CỦA TIỀN Cuốn sách Ma thuật
Sức mạnh của động lực giúp bạn vượt lên mọi khó khăn thử thách Trong suốt quãng đời của mình, hẳn chúng ta đã từng nhiều lần bắt gặp những nghịch lý ngay trong chính
Bạn không hài lòng với cuộc sống hiện tại dù đang không ngừng cố gắng? Bạn thất vọng vì mọi nỗ lực của mình dường như đều trở nên vô ích? Bạn có hàng tá
Lãnh đạo bản thân có thể trao cho chúng ta quyền năng đầy sức mạnh: quyền năng được lựa chọn chúng ta sẽ sống như thế nào. Nếu muốn sống thật với bản thân mình,
Combo Sách Cho Cuộc Sống Của Bạn Trở Nên Hoang Hảo Nhất: Không Phải Thiếu May Mắn Chỉ Là Chưa Cố Gắng + Đại Học Không Lạc Hướng - (Sách Hấp Dẫn / Tặng Kèm
Cuộc Sống Không Giới Hạn - Câu Chuyện Diệu Kỳ Của Chàng Trai Đặc Biệt Nhất Hành Tinh Một người không tay không chân mà có thể làm được mọi việc giống như những
Sách Thay Câu Hỏi Đổi Cuộc Đời ------------ “Thay câu hỏi - Đổi cuộc đời” chứa đựng 101 câu hỏi bạn cần tự vấn chính mình khi 20 tuổi. Mà thực ra thì bạn
Tư Duy Của Người Dẫn Đầu - 7 Yếu Tố Để Trở Thành Người Dẫn Đầu Đám Đông ------------ BỞI VÌ BẠN TỒN TẠI, THẾ GIỚI ĐA NGUYÊN NÀY MỚI CÓ THÊM MỘT KHẢ
Tiểu Tiết Quyết Định Thành Bại - Cách Bạn Làm Một Việc Là Cách Bạn Làm Tất Cả Mọi Việc Tiểu tiết quyết định thành bại - Một cuốn sách sẽ giúp bạn thay đổi
GIỚI THIỆU SÁCH HÔN NHÂN ĐỘC BẢN Hôn nhân – đối với nhiều người mà nói, nó luôn là một thế giới phức tạp, đầy quyền lực và bí ẩn, với sự giao thoa
28 "Chuyện sống còn, ấy không phải là vấn đề có thể lựa chọn. Đó là bản năng. Bản năng của tất cả mọi tạo vật có sinh mệnh. Đó chính là đặc tính nghiệt
Giải Mã Tính Cách Chọn Lựa Tương Lai Bạn đã từng chịu những lời đánh giá chẳng mấy hay ho về tính cách của mình chưa? Suốt ngày ở trong phòng thế thì làm được
Đã bao giờ bạn ngồi xuống để làm việc và sau đó, không hề nhận ra mình lại kết thúc bằng việc dành một (vài) tiếng đồng hồ lướt Youtube, tin tức? Tất cả chúng
Đã bao giờ bạn ngồi xuống để làm việc và sau đó, không hề nhận ra mình lại kết thúc bằng việc dành một (vài) tiếng đồng hồ lướt mạng xã hội tin tức? Tất
Kỉ nguyên 4.0 đã tạo ra những thay đổi sâu rộng trong sản xuất và đời sống, đặc biệt có những tác động không nhỏ đến sự chuyển dịch của các ngành nghề trong xã
Từ thời Hy Lạp cổ đại, Plato đã đề xuất một chương trình giáo dục toàn diện; đào tạo cân bằng thể chất, hội họa, toán, khoa học, nhân cách, đạo đức chứ không thiên
Ngừng Tổn Thương - Làm Thế Nào Hóa Giải Xung Đột Bên Trong ------------ NGỪNG TỔN THƯƠNG - LÀM THẾ NÀO HÓA GIẢI XUNG ĐỘT BÊN TRONG Cuốn sách dành cho những trái tim
Chào mừng đến với Ikigai – giá trị cuộc sống của bạn. Ikigai là “lý do khiến bạn rời khỏi giường vào mỗi sáng”. Nó là những điều bạn làm mỗi ngày, có ý nghĩa
“Mưu sự tại nhân, hành sự tại thiên”. Người thông minh biết tận dụng ưu thế vượt trội, người tự tin biết khai thác ưu thế nội lực, người giỏi giang biết tạo ưu thế
Bạn tiếp cận với câu hỏi của một tiểu luận hoặc tranh luận theo cách nào ? Bạn xem xét khẳng quyết mà những người khác đưa ra làm sao và đề xuất phản –
NHỮNG CÂU HỎI LỚN đề cập đến những vấn đề cơ bản trong khoa học tự nhiên và xã hội, nhưng vẫn khiến những bộ óc vĩ đại trong lịch sử đau đầu. Từ những
NHỮNG CÂU HỎI LỚN đề cập đến những vấn đề cơ bản trong khoa học tự nhiên và xã hội, nhưng vẫn khiến những bộ óc vĩ đại trong lịch sử đau đầu. Trong cuốn Những
Đã bao giờ bạn ngồi xuống để làm việc và sau đó, không hề nhận ra mình lại kết thúc bằng việc dành một (vài) tiếng đồng hồ lướt tin tức? Tất cả chúng ta
15 Nguyên Tắc Vàng Về Phát Triển Bản Thân (Tái Bản) ------------ Qua cuốn sách 15 Nguyên Tắc Vàng Về Phát Triển Bản Thân (Tái Bản 2018), John C. Maxwell dạy bạn đạt tới
- Tên Nhà Cung Cấp Alpha Books Tác giả Angela Duckworth Người Dịch Nguyễn Thị Thục An NXB NXB Lao Động - Xã Hội Năm XB 2019 Trọng lượng (gr) 350 Kích thước 16 x
Tóm tắt nội dung: Einstein được coi là nhà bác học vĩ đại nhất thế kỷ XX. Các công trình khoa học của ông đã gây chấn động không chỉ ngành vật lý mà còn
Combo Sách Kỹ Năng Sống: Nói Thế Nào Để Được Chào Đón, Làm Thế Nào Để Được Ghi Nhận (Tái Bản) + Dao Có Mài Dao Sắc, Người Phải Thật Mới Khôn - (Bộ 2
Trong một thế giới ngày càng đa cực, bất kỳ khi nào hai hay nhiều người cùng nói về một chủ đề, mâu thuẫn chắc chắn sẽ xảy ra bởi mỗi người đều có quan
Qua cuốn sách 15 Nguyên Tắc Vàng Về Phát Triển Bản Thân (Tái Bản 2018), John C. Maxwell dạy bạn đạt tới tiềm năng bằng các nguyên tắc như: • Nguyên tắc Gương soi: Bạn
Giới thiệu Làm Ra Làm, Chơi Ra Chơi Đã bao giờ bạn ngồi xuống để làm việc và sau đó, không hề nhận ra mình lại kết thúc bằng việc dành một (vài) tiếng đồng
Siêu Tăng Trưởng ------------ Cuốn sách này bao gồm tất cả công cụ và yếu tố làm nên Hệ Điều hành Doanh nghiệp (Entrepreneurial Operating System – EOS). EOS là một hệ thống toàn
Thế giới là một bàn đàm phán khổng lồ, và muốn hay không, bạn là một người tham dự. Bạn, với tư cách một cá nhân, sẽ có lúc mâu thuẩn với người khác: các
Đã bao giờ bạn ngồi xuống để làm việc và sau đó, không hề nhận ra mình lại kết thúc bằng việc dành một (vài) tiếng đồng hồ lướt Youtube, Facebook, tin tức? Tất cả
Cuốn sách này bao gồm tất cả công cụ và yếu tố làm nên Hệ Điều hành Doanh nghiệp (Entrepreneurial Operating System – EOS). EOS là một hệ thống toàn diện, tự duy trì để
Người Châu Á Có Biết Tư Duy? ------------ Viễn cảnh châu Á trong thiên niên kỷ mới Cuốn sách này được in lần đầu tiên năm 1998, là tuyển tập các bài viết của
"Con người ta, khi làm một công việc trong suốt thời gian dài, đặc biệt là làm đi làm lại những tác vụ đơn giản, đầu óc được thả lỏng sẽ bắt đầu suy nghĩ,
Thế giới là một bàn đàm phán khổng lồ, và muốn hay không, bạn là một người tham dự. Bạn, với tư cách một cá nhân, sẽ có lúc mâu thuẩn với người khác: các
Thất Bại Lớn - Thành Công Lớn Cuốn sách các bạn đang cầm trên tay không phải là câu chuyện về thành công. Đây là cuốn sách nói về những thất bại, hay nói đúng
Thông tin sản phẩm Mã hàng 8935280914902 Tên Nhà Cung Cấp Thái Hà Tác giả TS Kelly McGonigal Người Dịch Quế Chi NXB Thế Giới Năm XB 2023 Ngôn Ngữ Tiếng Việt Trọng lượng (gr)
Viễn cảnh châu Á trong thiên niên kỷ mới Cuốn sách này được in lần đầu tiên năm 1998, là tuyển tập các bài viết của Giáo sư Kishore Mahbubani để trả lời cho hai
Làm Ra Làm Chơi Ra Chơi Đã bao giờ bạn ngồi xuống để làm việc và sau đó, không hề nhận ra mình lại kết thúc bằng việc dành một (vài) tiếng đồng hồ lướt
+ Cung cấp các câu mẫu bằng tiếng Anh theo từng bước, có thể áp dụng trong nhiều bối cảnh thuyết trình khác nhau; + Đề cập tới các bí quyết giúp việc thuyết trình
Cuốn sách triệu bản RICH HABITS đã có mặt tại Việt Nam - Rank #1000 BestSeller trên Amazon - Thường xuyên nằm trong top 10 sách về Doanh nhân trên Amazon - Nằm trong top
Qua cuốn sách 15 Nguyên Tắc Vàng Về Phát Triển Bản Thân (Tái Bản 2018), John C. Maxwell dạy bạn đạt tới tiềm năng bằng các nguyên tắc như: - Nguyên tắc Gương soi: Bạn
Làm Ra Làm Chơi Ra Chơi Đã bao giờ bạn ngồi xuống để làm việc và sau đó, không hề nhận ra mình lại kết thúc bằng việc dành một (vài) tiếng đồng hồ lướt
Công Chúa Tóc Cam - Yêu Đương Vui Phết (Trừ Những Lúc Không) Ngày nảy ngày nay, có nàng công chúa xinh đẹp, mọi người gọi nàng là Công chúa Tóc Cam. Vì tóc nàng
👁️ 67 | ⌚2025-09-27 18:30:02.515


Bộ sách (2 phần) gồm những bài tập dành cho những lứa tuổi mầm non, tiểu học nói riêng và những người học mới piano nói chung. Các bài hát trong sách chủ yếu dựa
Khi vai trò của thức ăn đối với con người chuyển dần từ vấn đề sống còn thành thưởng thức, dinh dưỡng càng đóng vai trò quan trọng, giúp nâng cao hiểu biết về cơ
Mỹ là một quốc gia công nghiệp phát triển với kỹ nghệ tiên tiến, có tầm ảnh hưởng rộng lớn trên thế giới, là thành viên của hầu hết các tổ chức toàn cầu lớn (giữ vai trò sáng lập trong
"Nửa Gánh Suy Tư" - Hành trình trở thành một người có giá trị "Nửa Gánh Suy Tư" là hành trình sâu sắc khám phá giá trị nhân sinh, tư duy và tiếng Việt. Tác
Trái tim người cha – nơi tình yêu và sự kỳ diệu bắt đầu Tự kỷ vẫn luôn là nỗi lo sợ và ám ảnh với tất cả các bậc cha mẹ. Sinh con ra,
THÔNG TIN ẤN PHẨM 1/ Tên tác phẩm: Trước nhà có cây hoàng mai: Những ghi chép về Huế - xứ sở phong rêu kiêu sa (tái bản lần thứ nhất có bổ sung và
Yêu sách của Antigone là tác phẩm cô đúc các bài giảng của học giả Judith Butler tại các trường đại học lớn như Đại học California, Cornell và Princeton năm 1998, bàn về tác
Sách - Phân Loại Và Giải Chi Tiết Các Dạng Bài Tập Toán 8 tập 1 Nội dung của mỗi tiết học đó là các định nghĩa, các công thức toán học, các định lí
SÁCH - Bồi dưỡng học sinh giỏi sinh học 9 (HA) Cuốn sách Bồi dưỡng học sinh giỏi Sinh học 9 được xuất bản nhằm mục đích cung cấp một tài liệu có ích trong
Giới thiệu cuốn sách 50 đề tăng điểm nhanh Toán lớp 5 Với mong muốn giúp các em học sinh lớp 5 nâng cao kỹ năng giải toán, tự tin trong các kỳ thi và
sách - luyện thi cấp tốc môn tiếng anh (dùng chung các bộ sgk hiện hành) Cuốn sách bao gồm các chuyên đề :Ngữ pháp, Từ vựng, Ngữ âm, Kĩ năng giao tiếp, Kĩ năng
Sách - Combo Hướng Dẫn Học & Giải Các Dạng Bài Tập Toán 7 - Tập 1 + 2 (Bám Sát SGK Kết Nối Tri Thức Với Cuộc Sống) Bộ sách gồm có:
Sách - Phân Loại Và Giải Chi Tiết Các Dạng Bài Tập Toán 8 tập 1 Nội dung của mỗi tiết học đó là các định nghĩa, các công thức toán học, các định
MÔ TẢ SẢN PHẨM Nội dung của mỗi tiết học đó là các định nghĩa, các công thức toán học, các định lí mà mỗi học sinh cần nhớ, đồng thời phải biết vận dụng
Combo Hướng Dẫn Học Tốt Toán Lớp 4 Tập 1 + 2 (Bám Sát SGK Cánh Diều) (Bộ 2 Cuốn) 1. Hướng Dẫn Học Tốt Toán Lớp 4 Tập 1 (Bám Sát SGK Cánh Diều)
Giới thiệu cuốn sách 50 đề tăng điểm nhanh Toán lớp 5 Với mong muốn giúp các em học sinh lớp 5 nâng cao kỹ năng giải toán, tự tin trong các kỳ thi và
“Kanter sẽ thay đổi thế giới theo đúng nghĩa đen với Tư duy ngoài khuôn khổ. Cuốn sách cung cấp những quan điểm và trải nghiệm rõ ràng về việc làm thế nào để áp
Livestream sẽ thúc đẩy sự phát triển đa dạng startup và đổi mới nhận thức của đại chúng về thương hiệu. Livestream bán hàng không chỉ có thế tăng doanh thu của công ty mà
Trung thành và yêu thương chủ nhân vô hạn — chó đúng là bạn tốt của con người. Nhưng ngoài yêu thương và tình bạn, chó còn cho ta rất nhiều thứ khác. CEO Scott
Cuộc Sống Sau Ung Thư ------------ Cuốn sách bao gồm các hướng dẫn chăm sóc sức khỏe để cải thiện chất lượng cuộc sống cho những người sống sót sau ung thư – có