✨Sách - Phương Pháp Tư Duy Tìm Cách Giải Toán Hình Học 9 - Dùng Chung Các Bộ SGK Hiện Hành - Nguyễn Toàn Anh - Hồng Ân









Sách - Phương Pháp Tư Duy Tìm Cách Giải Toán Hình Học 9 - Dùng Chung Cho Các Bộ SGK Hiện Hành Là quyển sách được tác giả biên soạn nhằm giúp học sinh tư duy hơn trong phương pháp giải Hình Học 7 để các em đạt kết quả cao hơn trong các kì kiểm tra hay các kì thi. Giới thiệu những cách giải cơ bản, lí thú, tạo thêm niềm say mê học tập. Là tài liệu tham khảo bổ ích dành cho học sinh, giáo viên và phụ huynh.
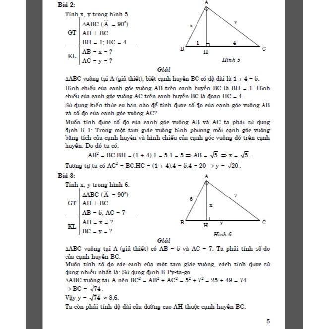
Nhà Phát Hành: Nhà Sách Hồng Ân Nhà Xuất Bản: NXB Đại Học Quốc Gia Hà Nội Tác Giả: Nguyễn Toàn Anh Hình Thức: Bìa Mềm Số Trang: 344 Kích Thước: 16 x 22 cm Ngày Xuất Bản: 2024




Dám Dẫn Đầu (Tái Bản 2020) ------------ DÁM DẪN ĐẦU là quyển sách tập hợp những câu chuyện về khả năng, kinh nghiệm và bí quyết lãnh đạo của 50 giám đốc điều hành
Hầu hết mọi người đều thích toán, tiếc là họ không biết điều này! Bởi ai mà chẳng thấy hấp dẫn với những mẩu chuyện kỳ thú về toán: như “giáo phái” toán học
Sách: Biến Thay Đổi Thành Lợi Ích Lẽ ra Forrest Gump nên nói: “Thay đổi luôn xảy ra.” Những ai có thể đương đầu với thay đổi sẽ tồn tại. Những ai có thể đón
Trong lòng chúng ta ai cũng có một em bé đang đau khổ. Ai cũng có một thời gian khó khăn khi còn thơ ấu và nhiều người đã trải qua những chấn động tâm
Sử dụng đúng ngôn từ để đạt hiệu quả giao tiếp cao nhất. Nếu bạn cũng giống như hàng triệu người thường ngồi lặng yên trong các cuộc họp, bỏ lỡ nhiều cơ hội thăng
I. GIỚI THIỆU "Trí tuệ cảm xúc bao gồm nhiều khả năng và kỹ năng tinh thần có thể giúp bạn thành công trong quản lý bản thân và làm việc với người khác một
PHỤ NỮ KHUẤY ĐẢO GIỚI KINH DOANH Tựa gốc: Women Rocking Business Tác giả: Sage Lavine ------------- PHỤ NỮ KHUẤY ĐẢO GIỚI KINH DOANH Là phụ nữ, chúng ta được trang bị
Dám Hạnh Phúc Trích đoạn của cuốn này: Triết gia: Ai cũng có thể hạnh phúc ngay từ giây phút này. Chỉ có điều, chúng ta không thể hưởng thụ hạnh phúc nếu chỉ
Vươn Đến Sự Hoàn Thiện (Tái Bản 2020) Trong cuộc sống chúng ta ai cũng có một uớc mơ cho một ngày mai thật đẹp, dù bình dị hay phi thường. Những ước mơ đáng
Sức Mạnh Của Ngôn Từ Sử dụng đúng ngôn từ để đạt hiệu quả giao tiếp cao nhất. Nếu bạn cũng giống như hàng triệu người thường ngồi lặng yên trong các cuộc họp, bỏ
Cuốn sách bán chạy nhất Đài Loan năm 2017 này sẽ giúp bạn thoát khỏi chiếc bẫy vô hình mang tên "thao túng cảm xúc". Thao túng cảm xúc là gì? Đó là khi đối
Giới thiệu sách: những đứa trẻ chưa lớn Giữa dòng đời tất bật bôn ba, hẳn sẽ có lúc chúng ta nhìn lại và chợt ngẫm: “Hoá ra làm người lớn mệt mỏi đến vậy,
Trong những ngày tháng sống trên đời, chúng ta luôn lo lắng nếu mình không làm gì đó, thì sẽ bị người khác vượt qua, bị thời đại bỏ lại. Nhưng thật ra, đời người
Nghệ Thuật Tổng Kết ------------ Đã bao giờ bạn nhìn thấy những tấm gương tài năng, thành đạt khi tuổi đời còn rất trẻ và tự hỏi: “Tại sao mình chưa có được thành
OCD THÌ SAO, MÀY VẪN ỔN, ĐỪNG LO LẮNG! Jason Adam Katzenstein – họa sĩ vẽ tranh cho Tạp chí New Yorker cố gắng sống một cuộc đời bình thường nhưng lại liên tục bị
Time Management Ninja - 21 Quy Tắc Cơ Bản Để Quản Lý Thời Gian. Bạn không hề đơn độc khi có cảm giác rằng mình không có đủ thời gian trong ngày. Trên thực tế,
Phương Pháp Nuôi Dưỡng Kỷ Luật Tự Giác Ở Trẻ Tại sao các bạn lại muốn sở hữu cuốn sách này? Là vì mỗi ngày các bạn phải bực bội, hay phải la hét
Chủ Nghĩa Khắc Kỷ - Nuôi Dưỡng Sự Tích Cực, Sống Cuộc Đời Đẹp Nhất ------------ Làm thế nào để giữ cho mình một tâm thái bình thản trước mọi giông bão cuộc đời?
Nghệ Thuật Tổng Kết - AZ ------------ Đã bao giờ bạn nhìn thấy những tấm gương tài năng, thành đạt khi tuổi đời còn rất trẻ và tự hỏi: “Tại sao mình chưa có
Mình Là Cá, Việc Của Mình Là Bơi Đã bao nhiêu lần bạn tự hỏi về sự tồn tại của bản thân trên thế giới này? Đã bao nhiêu lần bạn thấy mình chìm trong
Được mệnh danh là “người chữa bệnh bằng văn chương”, bác sĩ Đỗ Hồng Ngọc không chỉ là “người nhà” của Phương Nam với các ấn phẩm liên tiếp gần đây như: Thiền & Sức
Ba người thầy vĩ đại (Tái bản) ------------ “Tôi đã nếm trải nhiều thất bại trong hành trình đi qua những tháng ngày của mình. Thế nhưng, mỗi chướng ngại cuối cùng đều lại
Khi anh bạn đồng nghiệp Angus - kẻ lập dị của khoa luật - thuyết phục Nat cùng đến dạy trong lớp học pháp lý tại một nhà tù địa phương, thế giới dù không
CHUYỆN BUỒN CHỈ LÀ CHUYỆN CỎN CON Trong kỷ nguyên đang phát triển nhanh một cách chóng mặt, việc được “sống là chính mình” trở nên khó khăn hơn bao giờ hết. Mỗi sáng thức
Để đáp ứng yêu cầu đổi mới cách đánh giá học sinh trong môn Ngữ văn cấp THPT - Chương trình GDPT 2018 (tránh dùng lại các văn bản đã học trong sách giáo khoa
Chuẩn Bị Cho Bé Vào Lớp Một (Bộ 10 Cuốn) Ở lứa tuổi mẫu giáo, bé bắt đầu tìm hiểu về thế giới vạn vật xung quanh, đây cũng là độ tuổi phát triển nhanh
Bộ sách phát triển IQ (chỉ số thông minh) bao gồm: -Phát Triển Tư Duy Logic IQ - Thử Trí Thông Minh -Phát Triển Tư Duy Logic IQ - Đố Vui Đoán Giỏi -Phát Triển
Vào đầu thập niên 1980 ở Nhật Bản, sức khỏe tâm thần của người dân trở nên kém đi và tỷ lệ tự tử tăng vọt. Lo lắng cho phúc lợi của người dân, chính
Đừng Gọi Em Là Ký Ức Những tháng ngày ấy, có thể chúng ta đã rất vất vả, nhưng chúng ta vẫn rất biết ơn cuộc đời, vì nhờ những gian khó ấy, ta mới
Đạo Lý Làm Người Đạo lý trong cuộc đời con người cũng giống như chiếc la bàn khi chúng ta đang đi thuyền trên biển. Nếu không có sự chỉ dẫn của nó, con người
Ba Người Thầy Vĩ Đại “Tôi đã nếm trải nhiều thất bại trong hành trình đi qua những tháng ngày của mình. Thế nhưng, mỗi chướng ngại cuối cùng đều lại chính là một bàn
CHUYỆN BUỒN CHỈ LÀ CHUYỆN CỎN CON Trong kỷ nguyên đang phát triển nhanh một cách chóng mặt, việc được “sống là chính mình” trở nên khó khăn hơn bao giờ hết. Mỗi sáng thức
Vươn Lên Hoặc Bị Đánh Bại Cuốn sách này có thể coi là cuốn sách thứ ba mà tôi viết. Khi bắt tay vào viết, tôi luôn tự hỏi bản thân một câu hỏi: Nếu
Combo Sách Kỹ Năng Hoàn Thiện Bản Thân: Tìm Kiếm Cái Tôi Hoàn Thiện Nhất Của Bạn - Chủ Động Trong Các Mối Quan Hệ + Nghĩ, Nói, Trưởng Thành Và Làm Nên Sự Nghiệp
Bài Tập Tiếng Anh Lớp 7 (Có Đáp Án) The Langmaster - Bài Tập Tiếng Anh Lớp 7 được biên soạn dựa vào phương pháp dạy ngôn ngữ giao tiếp (Communicative Language Teaching Method), sách tập
Một chàng trai trẻ bị đâm đến chết vì những con cá quý giá của mình. Một ông trùm châu Á mua con cá rồng độc nhất vô nhị với giá 150.000 đô la. Một
Dẫu ta luôn khao khát có được những câu trả lời rõ ràng cho muôn vàn rắc rối cuộc đời, hiếm khi nào ta có được chúng. Trong cuốn sách này, Marc Lesser cho người
Tuổi Ấy Mình Yêu Hồi ức về Hà Nội, “tuổi mình” thuộc thế hệ 6x, 7x. Chuyện của thế hệ ấy tức là vừa đi qua chiến tranh. Hà Nội với biệt thự Pháp sang
Các nhà nữ quyền luôn than vãn rằng phụ nữ đang bị đối xử bất bình đẳng trong mọi môi trường làm việc. Kẻ bị kết án trong câu chuyện này, tất nhiên, là đàn
Một ý niệm về nỗi buồn là một cuốn sách hoàn toàn mới về một vấn đề mà nhiều người còn mơ hồ. Cuốn sách trở nên nổi tiếng toàn cầu sau khi được thành
“Chúng ta thả lưỡi câu xuống đại dương ngôn ngữ mênh mông và thăm thẳm, hy vọng có thể câu lên những ngôn từ phù hợp và cần thiết cho mình…” Tục ngữ trao cho
Mã hàng 8936067609653 Tên Nhà Cung Cấp Minh Long Tác giả Chu Đàn Người Dịch Phương Linh NXB Văn Học Năm XB 2024 Trọng lượng (gr) 310 Kích Thước Bao Bì 20.5 x 15
Thế Nào Và Tại Sao - Robot Những Bộ Óc Siêu Việt Và Những Trợ Thủ Đắc Lực Cho dù dưới dạng xe tự hành trên sao hỏa hoặc tàu ngầm dưới đáy biển
Thí Nghiệm Đầu Hàng - Hành Trình Tuân Theo Sự Hoàn Hảo Của Dòng Đời Cốt lõi của Thí nghiệm đầu hàng là một câu hỏi đơn giản: Liệu ta sẽ sống tốt hơn khi
Trên tay các em là cuốn sách “ Tìm Hiểu Về: Cơ Thể Người ”. Những hình ảnh sinh động cùng những thí nghiệm trực quan giúp các em dễ dàng tiếp cận với các kiến thức
Giải đáp giúp các trẻ, đang muốn tìm hiểu khám phá về “Ngôi nhà Trái đất” thông qua cuốn sách này bé được khám phá Trái đất của chúng ta, tuổi của Trái đất đến
Rất nhiều người có quan niệm sai lầm rằng toán học là khô khan, buồn chán, thậm chí là vô dụng, xa vời cuộc sống. Giá như họ được đọc cuốn sách “Đại Số Vui”
Sống Vì Mình Bạn có cảm thấy bất hạnh không? Bạn có cảm thấy bị đối xử tàn tệ không? Bạn có xu hướng nỗ lực rất nhiều trong mối quan hệ không? Bạn
Xã hội giống như một ván cờ mà ở đó, một nước đi dù sai lầm hay đúng đắn sẽ trực tiếp ảnh hưởng đến tất cả những lựa chọn tiếp theo. Con người là
Giữa chốn hỗn độn nơi công sở, làm thế nào để ta cả thiện những mặt tích cực như sự thành công, sáng tạo, thử thách và niềm vui khi tham gia vào một nỗ
Làm Thế Nào Để Kết Giao Với Người Lạ Trong cuộc sống và công việc hằng ngày, chúng ta thường phải làm quen với những người bạn mới, giao tiếp với những người lạ, đàm
Nếu đắc nhân tâm là cuốn sách kinh điển giúp bạn thay đổi cuộc đời và đưa bạn đến thành công, thì "Quẳng gánh lo đi và vui sống" chính là
Mặt Dày Tâm Đen – Nhân Viên Khéo Léo Tỏa Sáng Chốn Văn Phòng ------------ Nhân viên khéo léo tỏa sáng chốn văn phòng Công sở là một xã hội thu nhỏ, nhân viên
Tâm Lý Học Nói Gì Về Những Mã F TÂM LÝ HỌC NÓI GÌ VỀ NHỮNG MÃ F - “Chúng ta vẫn có thể mắc trầm cảm dù không có lý do đặc biệt
6 bước chào ngày mới để biến đại học thành năm tháng thanh xuân rực rỡ nhất. Bạn sẽ được học hỏi từ cuốn sách này: Kỹ thuật phao cứu sinh – LIFE S.A.V.E.R.S để
Sách Kỹ Năng Sống: Bí Quyết Đọc Tâm (Tái Bản 2018) - (Cuốn Sách Đọc Vị, Thấu Hiểu Người Khác Chỉ Trong Giây Lát / Tặng Kèm Postcard Greenlife) Có người nói, ngày nay chính
Những "công dân toàn cầu" mang những nét đặc trưng nào? Họ có sinh hoạt, làm việc, và hành xử theo các chuẩn mực khác biệt của riêng một cộng đồng mang đẳng cấp cao?
Đường Nào Cũng Trong Lòng Bàn Tay Bàn tay nhỏ bé của con người có thể làm được những gì? Có thể lật giở trang sách để tiếp thu tri thức, làm giàu tâm hồn.
Bức Tường Trong Chai Tequila Nhà xuất bản : Nhà Xuất Bản Hội Nhà Văn. Công ty phát hành : Phương Nam Book. Tác giả : Trần Băng Khuê. Kích thước : 12 x 20
Công ty phát hành NXB Trẻ Tác giả: Lý Quí Trung Ngày xuất bản 2021 Kích thước 13 x 20.5 cm Loại bìa Bìa mềm Số trang 248 Nhà xuất bản NXB Trẻ
👁️ 13 | ⌚2025-09-27 18:30:02.513


Vũ trụ chứa vạn vật đang tồn tại như các hành tinh, mặt trăng, các ngôi sao và những dải thiên hà. Hãy cùng nhau khám phá về Vũ trụ - cùng trả lời câu
“Luật nhân quả - Tự vấn nghiệp duyên, xoay chuyển số mệnh” là một cuốn sách sâu sắc và cần thiết cho bất kỳ ai từng tự hỏi: “Tại sao đau khổ cứ liên tục
Đắc nhân tâm của Dale Carnegie là quyển sách của mọi thời đại và một hiện tượng đáng kinh ngạc trong ngành xuất bản Hoa Kỳ. Trong suốt nhiều thập kỷ tiếp theo và cho
Dù mới gia nhập vào con đường thiết kế đồ họa, hay chỉ tìm hiểu theo kiểu “cưỡi ngựa xem hoa” nhưng vẫn muốn giỏi thực sự trong ngành, thì chắc chắn bạn sẽ yêu
Dám Nói Có Cuốn sách không chỉ đề cập đến việc nói “CÓ” với cuộc sống, mà còn đề cập đến việc tìm ra sức mạnh bên trong chính m.ình để vượt qua những thách
Đời Vội Vã Càng Nên Sống Chậm - Cuốn Sách Đọc Chậm Để Chữa Lành Trái Tim Phụ Nữ Đời vội vã càng nên sống chậmlà cuốn sách mới nhất của Hoàng Anh Tú dành
Trong không gian tĩnh lặng của thư viện này, có những cuốn sách không kể những câu chuyện phiêu lưu, mà thì thầm những lời của tuệ giác. Viết cho ngày đã mất là một
Giới thiệu tác giả Phyllis L. Fagell là một chuyên gia tư vấn tâm lý lâm sàng được cấp phép, một chuyên gia tư vấn giáo dục có chứng chỉ hành nghề và đồng thời
Cách Bật Về Phía Trước - Tìm Cơ Hội Trong Khủng Hoảng
Trầm Cảm Ẩn - Cách Thoát Khỏi Chủ Nghĩa Hoàn Hảo Đang Che Đậy Căn Bệnh Trầm Cảm Của Bạn “Brittany vô cùng lí trí và cực kì quy củ, nếu không nói là hơi
Có ai sống mà không ôm trong m.ình những nỗi đau khó nói thành lời. Sống, ta tồn tại để yêu và mất mát. Và “ta không sống ở đây để sửa chữa những đau
Spenditude: Làm chủ đồng tiền, tự do tài chính Bạn có bao giờ để ý rằng, khi bạn sắp xóa một ứng dụng trên điện thoại, những ứng dụng khác cũng bắt đầu rung lắc
50 Thiên Thần Của Bạn - Giải Phóng Bản Thân Khỏi Buồn Phiền Và Cô Đơn 50 Thiên thần của bạn: Giải phóng bản thân khỏi buồn phiền và cô đơn là một hướng dẫn
Sau Động Đất MỘT TÁC PHẨM TUYỆT VỜI NỮA CỦA HARUKI MURAKAMI ĐƯỢC NHÃ NAM GỬI ĐẾN BẠN ĐỌC! Tháng Một năm 1995, trận động đất đã phá hủy tất cả trong chớp mắt. Thế
Mười Vạn Câu Hỏi Vì Sao Tuổi thơ là khoảng thời gian đẹp nhất trong cuộc đời mỗi con người. Ở lứa tuổi này, trẻ luôn tràn trề hy vọng, cùng những ngây thơ trong
Trước Khi Chúng Ta Nói Lời Chia Tay Trước khi chúng ta nói lời chia tay là một bức thư tình được viết vào giai đoạn tình yêu đang đơm trái chín, như một lời
Dẫn Lối Ngôn Từ Ai cũng có câu chuyện để kể Có rất nhiều lý do khiến bạn cần kể một câu chuyện: khi gặp gỡ bạn bè mới, khi trình bày kế hoạch kinh
Đắc nhân tâm của Dale Carnegie là quyển sách duy nhất về thể loại self-help liên tục đứng đầu danh mục sách bán chạy nhất (best-selling Books) do báo The New York Times bình chọn
I. GIỚI THIỆU Sử dụng những kỹ năng NLP hiệu quả để tái định hình con đường dẫn đến thành công. Lập trình ngôn ngữ tư duy (NLP) bao gồm rất nhiều kỹ thuật tâm
Bạn Vốn Đã Phi Thường – Vanlangbooks - Giới thiệu Already Brilliant - Bạn Vốn Đã Phi Thường Bên trong bạn ẩn chứa mọi điều mà bạn từng mơ mình có thể - Mary Kay